Dynamics of shape

Splitting rectangular prisms:  Consider a rectangular prism in (d+1)-dimensional Euclidean space (d>0), with one vertex labelled O. This vertex has d+1 orthogonal edges emanating from it. The lengths of these edges in ascending order are L1, L2, ... ,Ld+1, with Ld+1 being arbitrarily set equal to 1. The shape of this prism can be defined by d quantities involving ratios of consecutive edge-lengths from this ordered list, namely by the d-dimensional vector Y=(Y1,Y2, ... ,Yd), where Yn := Ln / Ln+1. Thus each component of shape is a number in [0,1].

The prism is to be split by a randomly-positioned hyperplane of dimension d orthogonal to an edge. The cutting plane is an equally-likely choice from the space of all such planes. Having made the cut, the prism containing O is retained, whilst the other prism is discarded.

The retained prism is rescaled so that its longest edge equals 1 and the process then iterated, thus forming a Markov process of shape vectors. In paper #67 I investigate the equilibrium conditions and equilibrium distribution for this Markov process. After solving an equation which may well have Guiness-Book-of-Record claims as the longest to ever consume journal space, I found that the limiting distribution on [0,1]d exists and has pdf

This joint pdf is very easy to manipulate to obtain marginals, conditionals and moments.

Variations on a theme for d=1: The planar case is studied in #68, with many variations on the random splitting method and on the way of selecting the rectangle to be retained. An abundance of new probability distributions on [0,1] are obtained as limiting distributions of shape.

Other dynamics for random sequences of planar rectangles: One is bounded only by one's imagination in dreaming up random rules to generate a sequence of rectangles. Francis Chen and I have looked extensively at many such rules. Finding limiting shape densities has been our focus. In paper #70, we present four of the most appealing dynamical schemes. We name them after famous mathematicians of the past, because each problem captures some of the flavour of their work.

(a) D. G. Kendall: A point P undergoes Brownian motion in the plane commencing at the origin O. The Brownian motion has no drift whilst the variance in direction x is b times that in direction y. At any time t, we consider the rectangle with sides parallel to the x and y axes and having diagonal OP. The shape of this rectangle has, for all t>0, a pdf

.

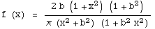
(b) Crofton: Given a rectangle R, draw an isotropic uniformly distributed random transect T. This is a line uniformly sampled from the space of all lines which intersect R. We create, as the next rectangle in sequence, the unique rectangular subset of R having (i) sides parallel to those of R and (ii) the intersection of T and R as diagonal. The big surprise here is that, for any starting shape, the distributions of all subsequent shapes are independent and identically-distributed! The limit is reached after just one step! The limiting pdf is

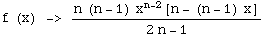
(c) Renyi and Sulanke: For a starting rectangle R, place n>1 iid points uniformly distributed on the long side and m>1 iid points uniformly distributed on the short side. Form the next rectangle in sequence as the Cartesian product of the ranges of these two samples of points. Provided m > n, limiting distributions exist. A host of differing forms occur, depending on the relationship between m and n. For example, if m=3 and n=2, the limiting pdf is

whilst, for any n, the result of taking m to infinity, yields

.

(d) Blaschke: Start with R. Take a congruent copy of R and place it randomly in the plane in a manner such that the intersection of the copy with R itself is a rectangle; this intersection becomes the next rectangle in sequence. The randomness is uniform over all positions and orientations which achieve this rectangular intersection. We have a series solution to the limiting shape distribution. Note that squares have positive probability mass in the limit distribution -- numerically the mass is 0.161587. A nicer analytic solution eludes us (see unsolved problems #1).

Back to my random-geometry page

Back to my front page.