Unsolved problems

1. Can someone solve this integral equation? Find a non-negative function g defined on [0,1] and a constant a satisfying

for x>0, with further conditions

Motivation for the equation, together with a series-solution and plot, is given in Section 5 of

70. Cowan, R. and Chen, F. K. C. Four interesting problems concerning Markovian shape sequences. Adv. Appl. Prob. 31, 954-968 (1999). Download post-script file.

The equivalent differential equation is also given in this paper. An analytic solution would be desirable.


2. Least dense "full" packings. Consider an infinite ensemble of equal-sized disks with diameter 1, packed together in the plane. A requirement of the packing is that each disk touches at least 4 other disks. In addition, each disk's circumference must be "full" in the sense that the angle at the disk's centre subtended by the centres of any two adjacent neighbours is less than 2π/3. Thus there is no room on the circumference for another disk. In the paper

56. Cowan, R. Constraints on the random packing of disks. J. Appl. Prob. 30, 263-268 (1993), Download post-script file

random ensembles with these properties (and statistical stationarity over the plane) are considered. Regular ensembles with a repeating sub-unit fit into this framework by ensuring that the planar origin is uniformly distributed within the area of the repeating unit.

It is shown that τ, defined as the mean number of disk centres in any unit area, must be greater than 0.951327 (see paper for the trigonometric expression). The regular ensemble, whereby every disk has 4 neighbours in the directions of the 4 compass points, has τ = 1. Does there exist an ensemble with τ < 1?  Christian Richter has shown that the answer is yes. See his paper in the SIAM Journal of Discrete Mathematics, 28(1) 2014.

Readers may prefer to work with non-random ensembles not constrained by the statistical-stationarity condition (which implies that the mean number of disk centres in a domain is invariant under translations of that domain). If working this way, however, one must define τ (and the limit of density inside the ball Br as r goes to infinity seems a likely candidate, and so this limit should exist for any example tried).


3. Fat and thin rectangles. Consider the Markov process of rectangles constructed as follows. Start with a rectangle of any non-square shape. On a long side of the rectangle place a uniformly-distributed point P. Divide the rectangle into two rectangles with a line through P orthogonal to the long side. Select the thinner of the two rectangles formed as the next in sequence, "thinner" being defined as the one with the smaller shape X (see below). Iterate the process with this new rectangle.

X, the shape of a rectangle, is defined as the ratio of shorter to longer side. What is the equilibrium distribution of X on [0,1] for the shape of this "thinner-choice" sequence of rectangles.

If instead, one selects the fatter of the two rectangles after the cut, that is the rectangle with the higher shape value, the limiting shape has pdf given by
                  f(x) = (2 - 1/x)/(1 - log 2)        if 1/2 < x < 1,
                        = 0                                 otherwise.
See the paper

68. Chen, F. K. C. and Cowan, R. Invariant distributions for shapes in sequences of randomly-divided rectangles. Adv. Appl. Prob. 31, 1-14 (1999). Download post-script file

These fatter/thinner problems were both unsolved using another natural probability measure for the cutting line, namely where the cutting line is an equally-likely choice from the space of all lines which divide the rectangle into two rectangles.


4. A problem for statisticians. During development of a biological tissue, cells divide into two for a while but gradually there is cell specialisation and cessation of cell division. The generation time of cells is highly variable during this process. Also, while this growth process is happening, it is common for the probability distribution of generation times to shift; mean generation times gradually get longer. The slowing in growth of cell numbers is compounded by these two phenomena -- cessation of division and lengthening generation times.

The problem I pose is "how to sort out the roles of these compounding factors from data which can be collected on (a) the cell population size and (b) the number of non-dividing cells?".

One model is the age-dependent branching process discussed in this context in

35. Cowan, R. and Morris, V. B. Cell population dynamics during the differentiative phase of tissue development. J. Theoretical Biology 122 , 205-224 (1985).

Here, cessation of division is modelled by a sequence of numbers m0, m1, m2, ... , where mn := the expected number of dividing daughters for a mother belonging to generation n. The generation time distributions are a sequences of functions F0, F1, F2, ... , where Fn is defined as the distribution function of generation times for dividing cells of generation n. Non-dividing cells live for a variable time having d.f. G (with large mean).

Data can be collected on cell numbers at time t and also on the proportion of cells at time t which are non-dividing cells. For chick retinal tissues, such data are published in

63. Morris, V. B. and Cowan, R. An analysis of the growth of the retinal cell population in embryonic chicks yielding proliferative ratios and cell-cycle times for successive generations of cell cycles. Cell Proliferation 28, 373-391 (1995).

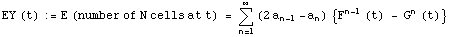
where there is also a fit to the branching-process model. The fitting technique involves an expressions for the mean population size at t and the expected number of non-dividing cells -- N cells -- at t (derived in paper #35). Starting with K cells in generation 0, these are:

where

and

Since N cells usually outlive the duration of the experiment, Gn can be replaced by 1 for simplicity. Now these theoretical curves, after initial wiggly behaviour, settle down to a shape which is not highly dependent on the detailed shape of F0, F1, F2, ... . So there is not enough information in the data to estimate these distributions. We can, however, estimate the mn sequence and the means of the Fn distributions. Paper #63 does this in a trial-and-error way. Can the fitting procedure be done automatically?

Footnote: The same problem is approached in another way, where the rates of cells producing "dividing" and "non-dividing" daughters are modelled as functions of "time" (not functions of "generation"), in

38. Cowan, R. and Morris, V. B. Determination of proliferative parameters from growth curves. Cell &Tissue Kinetics 20 153-159 (1987).


 7. A problem concerning generalisations of the Borel probability distribution is given on another page (link).


Back to my front page.